1. Гость, привет!
    ---=== ОБРАТИ ВНИМАНИЕ!!! ===---
    Клуб переезжает на новый домен Kaptur.SU
    Подробности здесь

Каптур.Клуб → Юмор

Тема в разделе "Беседка", создана пользователем Surg, 23 июн 2016.

  1. m.susl

    m.susl Наш человек

    Регистрация:
    4 авг 2016
    Сообщения:
    28.045
    Симпатии:
    77.524
    Баллы:
    120
    Адрес:
    Казань сити
    Имя:
    Дмитрий
    Авто:
    Вагодрочер, в прошлом Каптур 2.0 АТ Стайл
    Ответ один, а решений уже как минимум 2)))
     
    Campan нравится это.
  2.  
  3. MrNB-Ektb

    MrNB-Ektb Наш человек Член клуба RKCR

    Регистрация:
    3 окт 2017
    Сообщения:
    3.755
    Симпатии:
    7.827
    Баллы:
    120
    Адрес:
    Екатеринбург
    Имя:
    Дмитрий
    Авто:
    Kaptur Style 2.0 MT 4WD Black&White
    Вот это как раз в корне неправильный подход. Формул есть милльон, их все не упомнишь, да и все они являются следствием 2-3, а точнее одной - определения, которую и надо знать, а остальное додумывать.
     
  4. m.susl

    m.susl Наш человек

    Регистрация:
    4 авг 2016
    Сообщения:
    28.045
    Симпатии:
    77.524
    Баллы:
    120
    Адрес:
    Казань сити
    Имя:
    Дмитрий
    Авто:
    Вагодрочер, в прошлом Каптур 2.0 АТ Стайл
    Вот тут посложнее задачка))
    proxy.php?image=https%3A%2F%2Fdemotivators.to%2Fmedia%2Fposters%2F1439%2F7246170_pensionnaya-reforma.png&hash=6ba4a96574bee83cb11fd545f36818ee | Рено Каптур клуб Россия | www.KAPTUR.club
     
    KOT_Baguk, Борик, Campan и 3 другим нравится это.
  5. m.susl

    m.susl Наш человек

    Регистрация:
    4 авг 2016
    Сообщения:
    28.045
    Симпатии:
    77.524
    Баллы:
    120
    Адрес:
    Казань сити
    Имя:
    Дмитрий
    Авто:
    Вагодрочер, в прошлом Каптур 2.0 АТ Стайл
  6. MrNB-Ektb

    MrNB-Ektb Наш человек Член клуба RKCR

    Регистрация:
    3 окт 2017
    Сообщения:
    3.755
    Симпатии:
    7.827
    Баллы:
    120
    Адрес:
    Екатеринбург
    Имя:
    Дмитрий
    Авто:
    Kaptur Style 2.0 MT 4WD Black&White
    Ну решать уравнение тут не стоит, его как минимум тут просто нет.:smile:
    Да и бессмысленно это. Решай - не решай, а если и дотянем до пенсии, то ее размер по любой формуле будет смешон :sad:
     
    Campan, Подольск и m.susl нравится это.
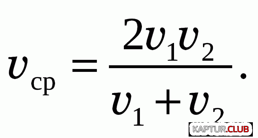
  7. m.susl

    m.susl Наш человек

    Регистрация:
    4 авг 2016
    Сообщения:
    28.045
    Симпатии:
    77.524
    Баллы:
    120
    Адрес:
    Казань сити
    Имя:
    Дмитрий
    Авто:
    Вагодрочер, в прошлом Каптур 2.0 АТ Стайл
  8. Подольск

    Подольск Наш человек Член клуба RKCR

    Регистрация:
    5 апр 2017
    Сообщения:
    4.327
    Симпатии:
    12.810
    Баллы:
    120
    Адрес:
    Подольск
    Имя:
    Александр
    Авто:
    Kaptur 2.0MT 4wd Style синяя глазурь-слоновая кость
    Ну так она выводится легко. Весь путь делённое на всё время. Так как путь одинаковый, выводим время по формуле из скорости. Подставляем то, что получилось и получаем данную формулу. Я на всю жизнь запомнил...
     
    Campan, Caifun и m.susl нравится это.
  9. m.susl

    m.susl Наш человек

    Регистрация:
    4 авг 2016
    Сообщения:
    28.045
    Симпатии:
    77.524
    Баллы:
    120
    Адрес:
    Казань сити
    Имя:
    Дмитрий
    Авто:
    Вагодрочер, в прошлом Каптур 2.0 АТ Стайл
    Тык это уже юмор, грустный конечно(( да и за страну обидно
     
    Подольск нравится это.
  10. m.susl

    m.susl Наш человек

    Регистрация:
    4 авг 2016
    Сообщения:
    28.045
    Симпатии:
    77.524
    Баллы:
    120
    Адрес:
    Казань сити
    Имя:
    Дмитрий
    Авто:
    Вагодрочер, в прошлом Каптур 2.0 АТ Стайл
    Один толкнул речь с броневичка и создал СССР.
    Другой влез на танк и развалил Союз.
    Мне страшно подумать, что будет с Россией, если кто-то третий захочет
    высказаться с мобильной ракетной установки.

    ***

    Стоит "шестисотый". Рядом танк. Танк разворачивается, бац - зацепил
    гусеницей мерин. Из него вылезает "новый русский", идет так открывает
    дверцу танка, а там здоровенный танкист.
    - Че надо?
    - Да так, хотел ключ на 13...
    - Нее, я до 40 руками, руками...
     
    Андрей1974, Campan, Cubinec и 3 другим нравится это.
  11. Подольск

    Подольск Наш человек Член клуба RKCR

    Регистрация:
    5 апр 2017
    Сообщения:
    4.327
    Симпатии:
    12.810
    Баллы:
    120
    Адрес:
    Подольск
    Имя:
    Александр
    Авто:
    Kaptur 2.0MT 4wd Style синяя глазурь-слоновая кость
    Легко...
    original (6).jpeg | Рено Каптур Клуб Россия | Форум KAPTUR.SU
     
    sokol1dv, Campan, alekseevi4 и 4 другим нравится это.